塔斯娱乐资讯网

名单公示!安徽国考税务拟录用名单发布 📌 发布单位: 国家税务总局安徽省税务

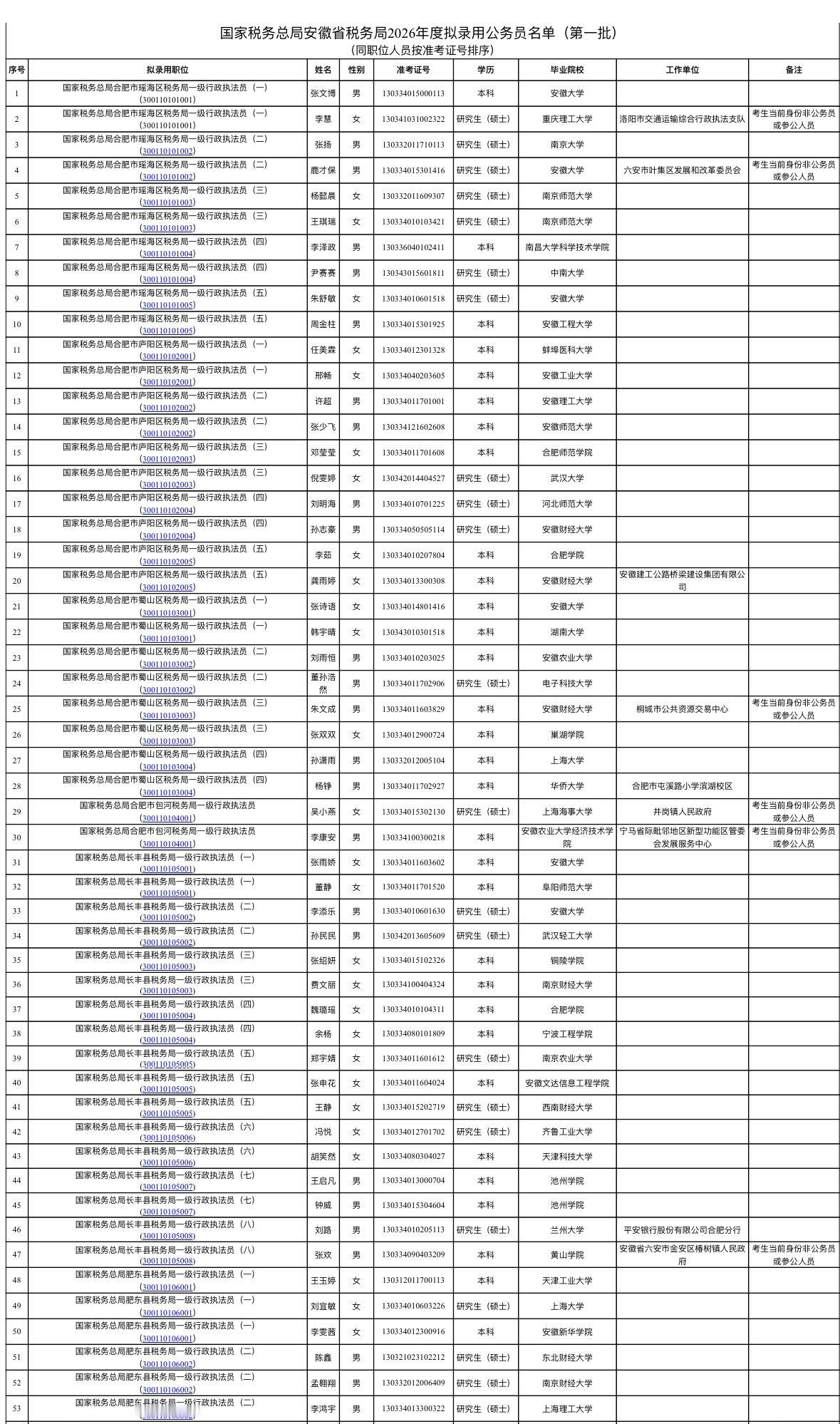
名单公示!安徽国考税务拟录用名单发布

📌 发布单位: 国家税务总局安徽省税务局
📌 通知信息: 2026年度第一批拟录用公务员名单已公示,共893人
📌 重要日期: 公示期为2026年4月27日至5月6日
📌 后续提醒: 公示期间如有异议可向招录单位反映,已入围的同学请保持通讯畅通等待后续通知

国考 公务员考试 拟录用名单 安徽国考 考公 考编 上岸