塔斯娱乐资讯网
压轴小题赏析江苏南京、镇江部分学校2026届高三下学期4月联考数学试题单选第八题
2026-04-24 11:15:53
桐瑞漫说小姐姐
小姐姐
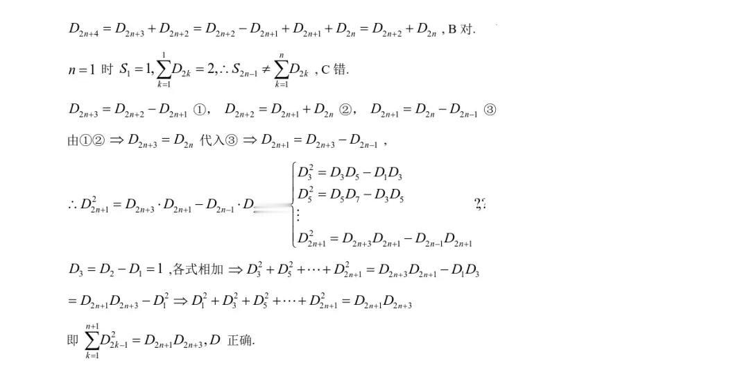
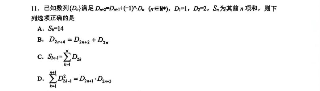
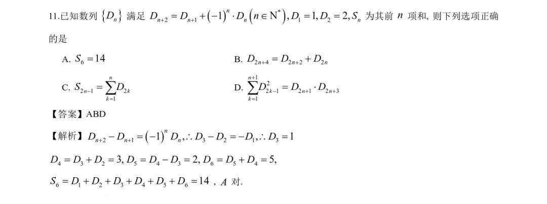
压轴小题赏析江苏南京、镇江部分学校2026届高三下学期4月联考数学试题单选第八题,多选题第十一题,天空第14题。
猜你喜欢
初中数学特长生请看想通过单科进重高数学是怎样的难度限18张图答案未能全部
2026-04-17
数学放大镜
标签:
初中数学
特长生
厦门大学
草稿纸
学霸一旦搞起抽象....这种考试拿分最狠了哈哈哈
2026-04-24
维斯塔记
标签:
学霸
新闻媒体连数学题都不会算了吗
2026-04-23
白夜菌
标签:
数学
又气又好笑!一爸爸得知女儿这次数学考试考了35分,就把女儿叫过来聊一下,得知班里
2026-04-24
五哥滚雪球
标签:
数学
语文
数学学科真题数学考试题型与技巧数学试题详解数学试题及解析数学考试复习辅助
2026-04-19
王师的数学物理课堂
标签:
数学
语文老师:我要验π数学老师:π没有问题
2026-04-16
清澈的爱照耀你
标签:
数学
语文
第十七届全国大学生数学竞赛决赛已经结束,近300所高校1308人获奖,数学类北京
2026-04-24
军哥育人
标签:
数学
大学生
北京
山东大学
大学
就业
孩子是不是985、211的料,主要看这几点!1、高中数学、物理不好,那基本
2026-04-06
飞兰谈课
标签:
物理
数学
高中数学
热门分类
明星八卦
娱乐
影视
推荐
热榜
军事
NBA
体育
社会
财经
科技
汽车
历史
国际
游戏
动漫
公益
搞笑
商业
互联网
数码
国际足球
房产
家居
时尚
科学探索
职场
育儿
股票
教育
情感
热点
中国军情
武器
中国南海
中国足球
亚洲杯
科比
综合体育
CBA
投资
楼市
大咖秀
外汇
创业
风口
SUV
豪车
概念车
优惠
新能源
美国
欧洲
朝日韩
俄罗斯
孕期
街拍
恋爱攻略
婚姻
正能量