塔斯娱乐资讯网
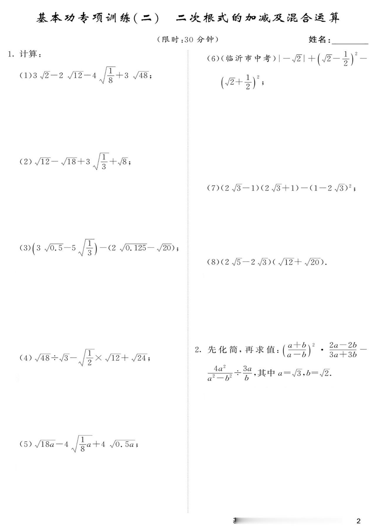
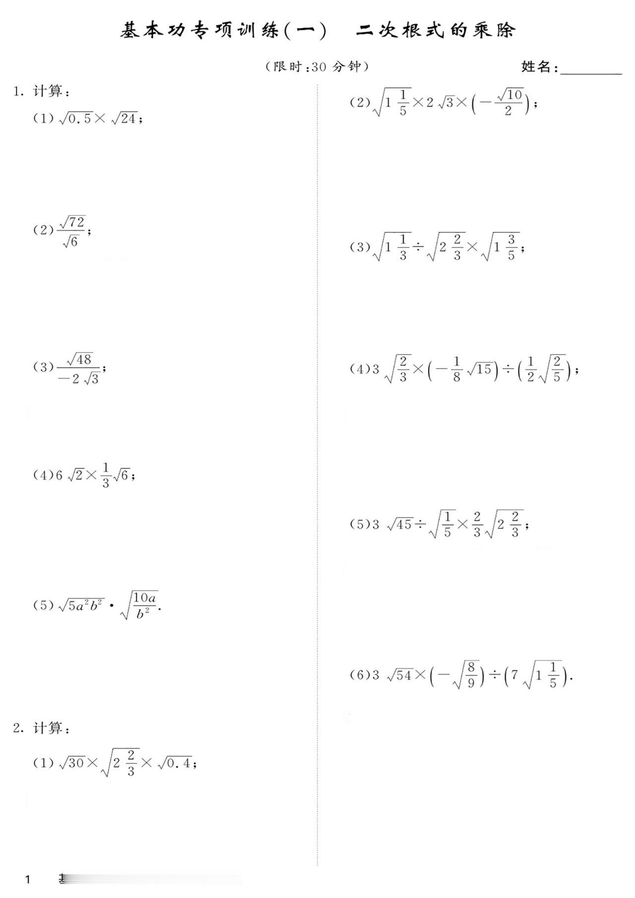
初二数学——基本功专项训练突破
2026-04-23 23:19:01
数学课堂杨
教育
初二数学——基本功专项训练突破
猜你喜欢
新闻媒体连数学题都不会算了吗
2026-04-23
白夜菌
标签:
数学
孩子是不是985、211的料,主要看这几点!1、高中数学、物理不好,那基本
2026-04-06
飞兰谈课
标签:
物理
数学
高中数学
爸爸得知女儿这次数学考试考了35分,就把女儿叫过来聊一下,得知班里还有8分时,爸
2026-04-24
小张的社会
标签:
数学
英语
语文老师:我要验π数学老师:π没有问题
2026-04-16
清澈的爱照耀你
标签:
数学
语文
数学学会找切入点的重要性
2026-03-31
数学放大镜
标签:
数学
数学特长生加试卷我所分享必属精品必有答案必合你所需
2026-04-04
数学放大镜
标签:
特长生
数学
数学学科真题数学考试题型与技巧数学试题详解数学试题及解析数学考试复习辅助
2026-04-19
王师的数学物理课堂
标签:
数学
女孩数学考35分,爸爸问她班里成绩最高分是多少,她说98分,而且还加了一句,人家
2026-04-23
加油小蚂蚁
标签:
数学
热门分类
明星八卦
娱乐
影视
推荐
热榜
军事
NBA
体育
社会
财经
科技
汽车
历史
国际
游戏
动漫
公益
搞笑
商业
互联网
数码
国际足球
房产
家居
时尚
科学探索
职场
育儿
股票
教育
情感
热点
中国军情
武器
中国南海
中国足球
亚洲杯
科比
综合体育
CBA
投资
楼市
大咖秀
外汇
创业
风口
SUV
豪车
概念车
优惠
新能源
美国
欧洲
朝日韩
俄罗斯
孕期
街拍
恋爱攻略
婚姻
正能量