塔斯娱乐资讯网
压轴小题赏析金考卷2026届八省名师联合高考最后一卷数学试题单选题第8题多选题第
2026-04-23 13:12:59
桐瑞漫说小姐姐
小姐姐
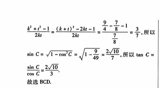
压轴小题赏析金考卷2026届八省名师联合高考最后一卷数学试题单选题第8题多选题第11题,填空题第14题。
猜你喜欢
北大校友会副会长
2026-04-22
三木推荐
标签:
北大
大学
美国不要的,中国也绝不会要!在美国哈佛大学的毕业典礼上,来自中国的留学生蒋雨融作
2026-04-22
幕沧小澜
标签:
留学生
哈佛大学
美国
就业
计算机选校|别被985滤镜骗了!真实避坑指南劝所有想报计算机的宝子,别再死磕清
2026-04-22
奔跑的督察员
到底该不该锻炼了?朱校长今年58岁了,他是县城小学的校长,为了退休后的生活
2026-04-22
想去看最美的风景
标签:
退休
重症监护室
小升初
中小学
前段时间,我受邀去外地一位朋友的民办学校坐客,这个朋友是也这个学校的老板。朋友
2026-04-24
苗苗看课程文化
标签:
民办学校
教师
那这么看来,小学老师还是挺厉害的
2026-04-23
小鱼煲仔饭
标签:
小升初
中小学
教师职称之所以常被诟病“水分大”,核心在于其评价标准中存在大量可人为操作、可“注
2026-04-24
暖心的心
标签:
教师
论文
我们需要怎样的高校与学者?近日,复旦大学退休教授冯玮因在自媒体平台发表不当言
2026-04-22
新筠安然
标签:
退休
复旦大学
大学
热门分类
明星八卦
娱乐
影视
推荐
热榜
军事
NBA
体育
社会
财经
科技
汽车
历史
国际
游戏
动漫
公益
搞笑
商业
互联网
数码
国际足球
房产
家居
时尚
科学探索
职场
育儿
股票
教育
情感
热点
中国军情
武器
中国南海
中国足球
亚洲杯
科比
综合体育
CBA
投资
楼市
大咖秀
外汇
创业
风口
SUV
豪车
概念车
优惠
新能源
美国
欧洲
朝日韩
俄罗斯
孕期
街拍
恋爱攻略
婚姻
正能量